Tic商业评论

关注微信公众号【站长自定义模块】,定时推送前沿、专业、深度的商业资讯。

 找回密码
 立即注册
  • QQ空间
  • 回复
  • 收藏

恐怖!缅北诈骗,盯上澳洲中国留学生!大使馆紧急发声!澳洲已成“诈骗之国”!

珀斯君 澳洲新鲜事 2025-2-10 06:53 86人围观

本文来自公众号:悉尼印象



近段时间,缅甸的电诈之猖獗,成为全球华人热议的话题。

先有“演员王星被绑案”,再有更多被绑人员的消息逐渐传出,大批人从泰国被绑至缅甸,随后被迫从事电信诈骗活动。

虽说近期中泰等国已经开始联手打击诈骗,但大家仍然不能掉以轻心。

诈骗,仍然很猖獗,仍然无处不在,且已经盯上了在澳的中国留学生。

而澳洲,正是全球最大的诈骗受害国。

诈骗盯上中国留学生

邮件催收“学费”

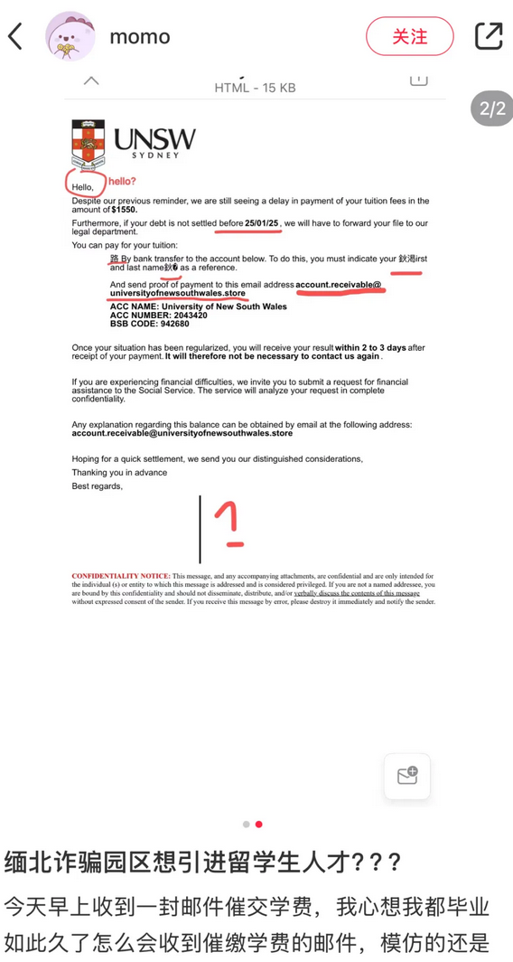
近日,有网友在网上发帖,称自己收到了母校的“学费催缴通知”:



邮件有模有样,模仿了学校的名字和标志,看起来像真的。

然而,这名网友表示,自己早已从学校毕业,怎么可能还需要交学费。
里面还把新南威尔士大学的缩写——UNSW写成了USNW,有网友笑称这“太不专业”,简直在把学生们当傻子。



如果是真的在校内就读的学生,自然不会拼错本校的缩写。
然而,收到此类邮件的人还不少:





一位网友表示,骗子会威胁你“学费逾期会走法律程序”,不过内容漏洞百出,只要仔细看,还是不会上当的。



还有来自塔斯马尼亚大学的校友表示,自己收到了一模一样的邮件:



诈骗分子如此猖獗,一定是有利可图。
诈骗,都是“遍地撒网”式的,犯罪分子通过非法手段购买了个人信息,然后批量发送,并不会认真核实每个人的信息。
这次是新南威尔士大学和塔斯马尼亚大学,下次就又会有冒充其他学校的片子出现。

部分网友发现,这根本骗不到自己——明明自己已经毕业了,还交什么学费?
殊不知,还有很多接收到邮件的人并没有毕业,或者没仔细看邮件的内容,他们就很容易受骗上当。
学校发邮件,是再正常不过的事情。但一旦涉及到钱,一定要提高警惕。

澳洲成全球诈骗最严重地区

领馆紧急提醒

近日,中国驻澳洲使领馆发布通知,提醒广大中国留学生注意诈骗。



骗局五花八门,各式各样,但只有一个目的——拿走你手里的钱。

使馆发出提醒,不是没有原因的。
或许是澳洲人普遍比较有钱,诈骗分子比较容易得手。
根据最新数据,澳大利亚目前是全球最大的诈骗受害国,澳大利亚人均损失100澳元,而美国人均损失45澳元。在英国,人均损失约34澳元。



澳洲专家也提醒澳人提高警惕。
澳联邦警察网络犯罪调查小组组长Kris Wilson表示,虽然情况因诈骗类型而异,但一旦受害者把钱转给了诈骗分子,想要把钱追回来就极其困难。
他表示,澳人经常遇到的就是投资诈骗。

他说:“首先会有一个诱饵。一旦某人的身份信息被收集并出售,他们通常会接到推销虚假投资计划的人的电话,以此引诱他们上钩。”
“这些推销话术都是预先策划和设定好的,就像演员拿到的剧本一样。这是专业级别的话术,目的就是让受害者点头同意。”
Wilson说,受害者最初会被小额投资吸引,诈骗分子会用一个专业的投资网站向受害者展示他们获得了丰厚的经济收益。
他说:“网站会显示虚假收益,然后他们会再次接到电话,被劝说进行新的投资。但这时受害者觉得自己投资收益不错,于是就会投入一大笔钱,结果几分钟内钱就没了。”
“我们是个‘肥羊国家’,因为我们很容易成为目标,而且是全球头号被盯上的国家。”

泰国宣布对电诈园区断电

大力打击电信诈骗

电诈如此猖獗,已经到了不得不打击的地步。
泰国也终于愿意放出他们的“终极手段”——对缅甸断电、断网。
2月5日上午,泰国正式切断对缅甸的五个地方的电力、互联网和燃油供应。
泰国副总理兼国防部长普坦称,电信诈骗对泰国民众造成严重影响,“已成为国家安全问题”,而这五个地方均与电信诈骗集团有关,其中包括缅甸妙瓦底会孟村。
泰国总理佩通坦则表示,目前的局势已对泰国民众和国家形象造成了严重影响,因此必须采取严厉措施。



断电、断网的确非常严厉,属于“无差别攻击”,因为当地的学校、医院、普通居民的住宅,也一样停电了。
以缅甸落后的基础设施,这些地方难以自救,没电就是没电,普通人的生活也会受到很大影响。
不过,至少目前妙瓦底等地的电诈园区,已经陷入混乱。电没了,还有发电机可以“死撑”,但发电机是要烧油的,油也没了,这些地方就会彻底陷入能源危机。
此举虽然伤害了缅甸境内的无辜百姓,但在电诈猖獗的情况下,断电不失为一种强硬手段,打击了电诈分子的嚣张气焰。
断电行动开始的第二天,缅甸方面就放了一大批人:
2月6日,缅甸克伦边防军(BGF)向泰国释放了61名电诈园区的外籍受害者。



其中包括39名中国人、1名哈萨克斯坦人、5名印度尼西亚人、1名埃塞俄比亚人、1名巴基斯坦人、1名马来西亚人和13名印度人。
提高防范意识,只能防止自己不被骗。
而彻底铲除电诈,还有很长的路要走……

综合来源:小红书、yahoo、bangkokpost、央视新闻等



以上为正文内容
图文转自:悉尼印象





免责声明



发布的内容所有权归属原作者。澳大利亚一号传媒仅提供信息发布平台。不代表同意原作者的观点和立场。部分内容经网络转载,如有侵权等问题请联系我们。

——澳洲一号传媒











1 Media

澳大利亚一号传媒



『澳大利亚一号传媒』版权所有©

转载请联系公众号:Au_1media







路过

雷人

握手

鲜花

鸡蛋
我有话说......

TA还没有介绍自己。

电话咨询: 61-426873209
关注微信